انواع مختلفی از ترانسفورماتورها در سیستمهای قدرت الکتریکی برای اهداف گوناگون مورد استفاده قرار میگیرند؛ از جمله در تولید، انتقال، توزیع و مصرف انرژی الکتریکی.
انواع مختلف ترانسفورماتورها شامل ترانسفورماتور افزاینده و کاهنده ولتاژ (Step‑Up و Step‑Down)، ترانسفورماتور قدرت، ترانسفورماتور توزیع، ترانسفورماتورهای اندازهگیری شامل ترانس جریان (CT) و ترانس ولتاژ یا پتانسیل (PT)، ترانسفورماتور تکفاز و سهفاز، اتوترانسفورماتور و موارد دیگر میباشند.
انواع مختلف ترانسفورماتور که در شکل بالا نشان داده شدهاند، در ادامه بهطور مفصل توضیح داده شدهاند.
ترانسفورماتور افزاینده و کاهنده ولتاژ
این نوع ترانسفورماتورها بر اساس تعداد دورهای سیمپیچ اولیه و ثانویه و همچنین نیروی محرکه الکتریکی القاشده (EMF) دستهبندی میشوند.
ترانسفورماتور افزاینده (Step‑Up Transformer)
ترانسفورماتور افزاینده، ولتاژ پایین و جریان زیادِ متناوب را به ولتاژ بالا و جریان کم تبدیل میکند. در این نوع ترانسفورماتور، تعداد دورهای سیمپیچ ثانویه بیشتر از سیمپیچ اولیه است.
ترانسفورماتور کاهنده (Step‑Down Transformer)
ترانسفورماتور کاهنده، ولتاژ بالای اولیه که با جریان کم همراه است را به ولتاژ پایینتر و جریان بالاتر تبدیل میکند. در این نوع ترانسفورماتور، تعداد دورهای سیمپیچ اولیه بیشتر از سیمپیچ ثانویه میباشد.
ترانسفورماتور قدرت (Power Transformer)
ترانسفورماتورهای قدرت در شبکههای انتقال با ولتاژ بالا مورد استفاده قرار میگیرند. سطوح ولتاژی متداول این ترانسفورماتورها شامل ۴۰۰، ۲۰۰، ۱۱۰، ۶۶ و ۳۳ کیلوولت است و معمولاً با توان نامی بیش از ۲۰۰ مگاولتآمپر (MVA) طراحی میشوند. این ترانسفورماتورها عمدتاً در نیروگاهها و پستهای انتقال نصب میگردند و نسبت به ترانسفورماتورهای توزیع، ابعاد بزرگتری دارند. طراحی آنها بهگونهای است که در نقطه کار خود، بالاترین بازده ممکن (نزدیک به ۱۰۰٪) را داشته باشند.
در ولتاژهای بسیار بالا، امکان توزیع مستقیم توان برای مصرفکننده وجود ندارد؛ در نتیجه، انرژی الکتریکی با استفاده از ترانسفورماتور قدرت کاهنده به سطح ولتاژ موردنظر کاهش داده میشود. از آنجا که این ترانسفورماتورها معمولاً بهطور کامل بارگیری نمیشوند، تلفات هسته در تمام طول شبانهروز وجود دارد، اما تلفات مسی تابع چرخه بار شبکه توزیع است.
اگر ترانسفورماتور قدرت در شبکه انتقال به کار گرفته شود، به دلیل عدم اتصال مستقیم به مصرفکننده نهایی، نوسانات بار بسیار کم خواهد بود؛ اما در صورت استفاده در شبکه توزیع، تغییرات و نوسانات بار بیشتر میشود.
ترانسفورماتور قدرت در پستهای انتقال بهصورت ۲۴ ساعته زیر بار قرار دارد، بنابراین هر دو نوع تلفات هسته و تلفات مسی در طول شبانهروز رخ میدهند. استفاده از ترانسفورماتور قدرت زمانی مقرونبهصرفه است که تولید انرژی الکتریکی در سطوح ولتاژ پایین انجام شود. با افزایش سطح ولتاژ، جریان کاهش مییابد که این موضوع باعث کاهش تلفات \( I^2R \) شده و در عین حال تنظیم ولتاژ بهبود پیدا میکند.
ترانسفورماتور توزیع (Distribution Transformer)
انواع مختلفی از ترانسفورماتورها در سیستمهای قدرت الکتریکی برای اهداف گوناگون مورد استفاده قرار میگیرند؛ از جمله در تولید، انتقال، توزیع و مصرف انرژی الکتریکی.
انواع مختلف ترانسفورماتورها شامل ترانسفورماتور افزاینده و کاهنده ولتاژ (Step‑Up و Step‑Down)، ترانسفورماتور قدرت، ترانسفورماتور توزیع، ترانسفورماتورهای اندازهگیری شامل ترانس جریان (CT) و ترانس ولتاژ یا پتانسیل (PT)، ترانسفورماتور تکفاز و سهفاز، اتوترانسفورماتور و موارد دیگر میباشند.
انواع مختلف ترانسفورماتور که در شکل بالا نشان داده شدهاند، در ادامه بهطور مفصل توضیح داده شدهاند.
ترانسفورماتور افزاینده و کاهنده ولتاژ
این نوع ترانسفورماتورها بر اساس تعداد دورهای سیمپیچ اولیه و ثانویه و همچنین نیروی محرکه الکتریکی القاشده (EMF) دستهبندی میشوند.
ترانسفورماتور افزاینده (Step‑Up Transformer)
ترانسفورماتور افزاینده، ولتاژ پایین و جریان زیادِ متناوب را به ولتاژ بالا و جریان کم تبدیل میکند. در این نوع ترانسفورماتور، تعداد دورهای سیمپیچ ثانویه بیشتر از سیمپیچ اولیه است. اگر \( V_2 > V_1 \) باشد، ولتاژ در سمت خروجی افزایش مییابد و به آن ترانسفورماتور افزاینده گفته میشود.
ترانسفورماتور کاهنده (Step‑Down Transformer)
ترانسفورماتور کاهنده، ولتاژ بالای اولیه که با جریان کم همراه است را به ولتاژ پایینتر و جریان بالاتر تبدیل میکند. در این نوع ترانسفورماتور، تعداد دورهای سیمپیچ اولیه بیشتر از سیمپیچ ثانویه میباشد. اگر \( V_2 < V_1 \) باشد، سطح ولتاژ در سمت خروجی کاهش مییابد و به آن ترانسفورماتور کاهنده گفته میشود.
ترانسفورماتور قدرت (Power Transformer)
ترانسفورماتورهای قدرت در شبکههای انتقال با ولتاژ بالا مورد استفاده قرار میگیرند. سطوح ولتاژی متداول این ترانسفورماتورها شامل ۴۰۰، ۲۰۰، ۱۱۰، ۶۶ و ۳۳ کیلوولت است و معمولاً با توان نامی بیش از ۲۰۰ مگاولتآمپر (MVA) طراحی میشوند. این ترانسفورماتورها عمدتاً در نیروگاهها و پستهای انتقال نصب میگردند و نسبت به ترانسفورماتورهای توزیع، ابعاد بزرگتری دارند. طراحی آنها بهگونهای است که در نقطه کار خود، بالاترین بازده ممکن (نزدیک به ۱۰۰٪) را داشته باشند.
در ولتاژهای بسیار بالا، امکان توزیع مستقیم توان برای مصرفکننده وجود ندارد؛ در نتیجه، انرژی الکتریکی با استفاده از ترانسفورماتور قدرت کاهنده به سطح ولتاژ موردنظر کاهش داده میشود. از آنجا که این ترانسفورماتورها معمولاً بهطور کامل بارگیری نمیشوند، تلفات هسته در تمام طول شبانهروز وجود دارد، اما تلفات مسی تابع چرخه بار شبکه توزیع است.
اگر ترانسفورماتور قدرت در شبکه انتقال به کار گرفته شود، به دلیل عدم اتصال مستقیم به مصرفکننده نهایی، نوسانات بار بسیار کم خواهد بود؛ اما در صورت استفاده در شبکه توزیع، تغییرات و نوسانات بار بیشتر میشود.
ترانسفورماتور قدرت در پستهای انتقال بهصورت ۲۴ ساعته زیر بار قرار دارد، بنابراین هر دو نوع تلفات هسته و تلفات مسی در طول شبانهروز رخ میدهند. استفاده از ترانسفورماتور قدرت زمانی مقرونبهصرفه است که تولید انرژی الکتریکی در سطوح ولتاژ پایین انجام شود. با افزایش سطح ولتاژ، جریان کاهش مییابد که این موضوع باعث کاهش تلفات \( I^2R \) شده و در عین حال تنظیم ولتاژ بهبود پیدا میکند.
ترانسفورماتور توزیع (Distribution Transformer)
این نوع ترانسفورماتور دارای سطوح ولتاژی پایینتر مانند ۱۱ کیلوولت، ۶٫۶ کیلوولت، ۳٫۳ کیلوولت، ۴۴۰ ولت و ۲۳۰ ولت است. توان نامی آنها معمولاً کمتر از ۲۰۰ مگاولتآمپر (MVA) بوده و در شبکه توزیع مورد استفاده قرار میگیرند تا با کاهش سطح ولتاژ، امکان توزیع و مصرف انرژی الکتریکی در سمت مصرفکننده فراهم شود.
سیمپیچ اولیه ترانسفورماتور توزیع معمولاً از سیم مسی یا آلومینیومی با روکش لاکی (Enamel-Coated) ساخته میشود. برای سیمپیچ ثانویه که دارای جریان بالا و ولتاژ پایین است، از نوارهای ضخیم مسی یا آلومینیومی استفاده میگردد. همچنین برای عایقکاری، از کاغذ آغشته به رزین و روغن عایق بهره گرفته میشود.
روغن ترانسفورماتور برای اهداف زیر استفاده میشود:
- خنککاری
- عایقبندی سیمپیچها
- محافظت در برابر رطوبت
انواع مختلف ترانسفورماتورهای توزیع بر اساس معیارهای زیر دستهبندی میشوند و در شکل زیر نشان داده شدهاند:
- محل نصب
- نوع عایق
- ماهیت تغذیه (نوع منبع تغذیه)
ترانسفورماتور توزیع با ولتاژ کمتر از ۳۳ کیلوولت در صنایع مورد استفاده قرار میگیرد و سطوح ولتاژی ۴۴۰ و ۲۲۰ ولت برای مصارف خانگی به کار میروند. این ترانسفورماتورها ابعاد کوچکتری دارند، نصب آنها آسان است، تلفات مغناطیسی کمی دارند و همواره بهطور کامل زیر بار قرار نمیگیرند.
از آنجا که ترانسفورماتور توزیع برخلاف ترانسفورماتور قدرت، در طول ۲۴ ساعت شبانهروز تحت بار ثابت کار نمیکند—بهطوریکه در ساعات روز بار آن در بیشترین مقدار خود بوده و در طول شب بار بسیار کمی دارد—بازده آن به چرخه بار بستگی دارد و بر همین اساس، بازده آن به صورت بازدهی شبانهروزی (All‑Day Efficiency) محاسبه میشود. ترانسفورماتورهای توزیع معمولاً برای دستیابی به حداکثر بازدهی در حدود ۶۰ تا ۷۰ درصد طراحی میشوند.

کاربردهای ترانسفورماتور توزیع
- در ایستگاههای پمپاژ مورد استفاده قرار میگیرد، جایی که سطح ولتاژ کمتر از ۳۳ کیلوولت است.
- برای تأمین برق خطوط هوایی در راهآهنهای برقی با تغذیه AC به کار میرود.
- در مناطق شهری، تعداد زیادی از منازل از طریق ترانسفورماتورهای توزیع تکفاز تغذیه میشوند؛ در حالی که در مناطق روستایی، بسته به میزان بار مصرفی، ممکن است یک ترانسفورماتور تکفاز تنها یک واحد مسکونی را تغذیه کند.
- در مناطق صنعتی و تجاری، به دلیل بالا بودن و تنوع بار، از چندین ترانسفورماتور توزیع بهصورت همزمان استفاده میشود.
- در مزارع بادی که انرژی الکتریکی توسط توربینهای بادی تولید میشود، ترانسفورماتور توزیع بهعنوان جمعکننده توان (Power Collector) به کار میرود و انرژی تولیدی را برای اتصال به پستهای برق که در فاصلهای از محل تولید قرار دارند، منتقل میکند.
ترانسفورماتور ابزار دقیق (Instrument Transformer)
این ترانسفورماتورها عموماً با نام ترانسفورماتور ایزولاسیون شناخته میشوند. ترانسفورماتور ابزار دقیق یک تجهیز الکتریکی است که برای تبدیل جریان و همچنین سطح ولتاژ به کار میرود. رایجترین کاربرد ترانسفورماتور ابزار دقیق، ایزولهسازی ایمن سیمپیچ ثانویه در شرایطی است که سیمپیچ اولیه تحت ولتاژ و جریان بالا قرار دارد؛ بهگونهای که ابزارهای اندازهگیری، کنتورهای انرژی و رلهها که به سمت ثانویه متصلاند، دچار آسیب نشوند.
ترانسفورماتور ابزار دقیق به دو نوع اصلی تقسیم میشود:
- ترانسفورماتور جریان (Current Transformer – CT)
- ترانسفورماتور ولتاژ یا پتانسیل (Potential Transformer – PT)
در ادامه، ترانسفورماتور جریان و ترانسفورماتور ولتاژ بهطور مفصل توضیح داده میشوند.
ترانسفورماتور جریان (Current Transformer – CT)
ترانسفورماتور جریان برای اندازهگیری و همچنین حفاظت در سیستمهای قدرت به کار میرود. هنگامی که جریان مدار بسیار بالا باشد و نتوان آن را مستقیماً به ابزار اندازهگیری اعمال کرد، از ترانسفورماتور جریان استفاده میشود تا جریان زیاد را به مقدار مناسب و قابلاستفاده برای تجهیزات متصل به مدار تبدیل کند.
سیمپیچ اولیه ترانسفورماتور جریان بهصورت سری در مدار اصلی و بین منبع تغذیه و تجهیزات مختلفی مانند آمپرمتر، ولتمتر، واتمتر یا سیمپیچ رلههای حفاظتی قرار میگیرد. ترانسفورماتور جریان دارای نسبت تبدیل جریان و رابطه فازی بسیار دقیقی است تا اندازهگیری جریان در سمت ثانویه با دقت بالا انجام شود. مفهوم نسبت تبدیل (Ratio) در CT از اهمیت ویژهای برخوردار است.
برای مثال، اگر نسبت تبدیل یک CT برابر 2000:5 باشد، به این معناست که وقتی جریان ۲۰۰۰ آمپر در سمت اولیه جاری است، جریان خروجی سمت ثانویه ۵ آمپر خواهد بود.
دقت ترانسفورماتور جریان به عوامل متعددی بستگی دارد که از جمله آنها میتوان به موارد زیر اشاره کرد:
- بار (Burden)
- میزان بار متصل
- دما
- تغییرات فاز
- رتبه یا کلاس نامی
- اشباع هسته
- و سایر عوامل مؤثر
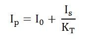
در ترانسفورماتور جریان، جریان کل اولیه برابر است با جمع برداری جریان مغناطیسکننده (جریان تحریک) و جریانی که برابر با معکوس جریان ثانویه ضربدر نسبت دورها میباشد.

که در آن:
– Ip – جریان اولیه
– Is – جریان ثانویه یا جریان معکوسشده
– I₀ – جریان تحریک (Excitation Current)
– Kₜ – نسبت دورها (Turn Ratio)
در این رابطه، جریان اولیه ترانسفورماتور جریان برابر است با جمع برداری جریان تحریک و جریان معادلشدهی جریان ثانویه بر اساس نسبت دورها.
ترانسفورماتور ولتاژ (Potential Transformer – PT)
ترانسفورماتور پتانسیل که با نام ترانسفورماتور ولتاژ نیز شناخته میشود، بهکار میرود. سیمپیچ اولیه این ترانسفورماتور بهصورت موازی (Across) به خط ولتاژ بالایی که قرار است اندازهگیری شود متصل میگردد و تمام ابزارهای اندازهگیری و کنتورها به سمت ثانویه ترانسفورماتور وصل میشوند.
وظیفه اصلی ترانسفورماتور ولتاژ، کاهش سطح ولتاژ تا یک مقدار ایمن و قابل اندازهگیری است. بهمنظور افزایش ایمنی، سیمپیچ اولیه ترانسفورماتور ولتاژ زمین (Earthing/Grounding) میشود.
برای مثال، اگر نسبت ولتاژ اولیه به ثانویه برابر 500:120 باشد، به این معناست که با اعمال ۵۰۰ ولت به سیمپیچ اولیه، ولتاژ خروجی ۱۲۰ ولت در سمت ثانویه در دسترس خواهد بود.
انواع مختلف ترانسفورماتور ولتاژ در شکل زیر نشان داده شدهاند.

- الکترومغناطیسی (Electromagnetic)
این نوع، یک ترانسفورماتور سیمپیچیشده معمولی است که بر اساس اصل القای الکترومغناطیسی کار میکند.
- خازنی (Capacitor Voltage Transformer – CVT)
ترانسفورماتور ولتاژ خازنی از یک تقسیمکننده ولتاژی خازنی برای کاهش سطح ولتاژ استفاده میکند و معمولاً در ولتاژهای بالا و فوقبالا به کار میرود.
- نوری (Optical)
این نوع ترانسفورماتور بر اساس خواص الکتریکی مواد نوری عمل میکند و برای اندازهگیری ولتاژ با ایمنی بالا و مصونیت در برابر تداخل الکترومغناطیسی استفاده میشود.
درصد خطای ولتاژ (Percentage Voltage Error) توسط رابطهای که در ادامه/شکل زیر نشان داده شده است، محاسبه میشود.

ترانسفورماتور تکفاز (Single‑Phase Transformer)
ترانسفورماتور تکفاز یک دستگاه ساکن است که بر اساس قانون القای متقابل فاراده کار میکند. این ترانسفورماتور در فرکانس ثابت و با تغییر سطح ولتاژ، توان الکتریکی متناوب (AC) را از یک مدار به مدار دیگر منتقل میکند.
در ترانسفورماتور دو نوع سیمپیچ وجود دارد:
- سیمپیچ اولیه (Primary Winding): سیمپیچی است که منبع تغذیه AC به آن متصل میشود.
- سیمپیچ ثانویه (Secondary Winding): سیمپیچی است که بار الکتریکی به آن وصل شده و توان را به مصرفکننده تحویل میدهد.
انتقال انرژی بین این دو سیمپیچ بدون اتصال الکتریکی مستقیم و صرفاً از طریق میدان مغناطیسی متغیر انجام میگیرد.
ترانسفورماتور سهفاز (Three‑Phase Transformer)
اگر سه ترانسفورماتور تکفاز را بهگونهای به یکدیگر متصل کنیم که هر سه سیمپیچ اولیه به هم وصل شده و بهصورت یک مجموعه واحد عمل کنند و همچنین هر سه سیمپیچ ثانویه نیز به هم متصل شده و یک سیمپیچ ثانویه مشترک را تشکیل دهند، در این حالت ترانسفورماتور حاصل مانند یک ترانسفورماتور سهفاز عمل خواهد کرد. بهعبارت دیگر، بانکی از سه ترانسفورماتور تکفاز که بهطور مناسب به هم متصل شدهاند، میتواند وظیفه یک ترانسفورماتور سهفاز را انجام دهد.
تغذیه سهفاز عمدتاً در تولید، انتقال و توزیع انرژی الکتریکی و بهویژه برای کاربردهای صنعتی مورد استفاده قرار میگیرد. از نظر اقتصادی، در بسیاری از موارد مونتاژ سه ترانسفورماتور تکفاز برای تشکیل یک ترانسفورماتور سهفاز، کمهزینهتر از خرید یک ترانسفورماتور سهفاز یکپارچه است.
اتصال ترانسفورماتور سهفاز میتواند به دو شکل اصلی انجام شود:
- ستاره (Star یا Wye)
- دلتا (Delta یا Mesh)
جمع بندی
ترانسفورماتورها از اجزای اساسی سیستمهای قدرت الکتریکی هستند و نقش کلیدی در تولید، انتقال، توزیع و مصرف انرژی الکتریکی ایفا میکنند. این تجهیزات با تغییر سطح ولتاژ در فرکانس ثابت، امکان انتقال ایمن و اقتصادی توان الکتریکی را فراهم میسازند.
از نظر عملکرد، ترانسفورماتورها به افزاینده و کاهنده ولتاژ تقسیم میشوند که اختلاف آنها ناشی از نسبت دورهای سیمپیچ اولیه و ثانویه است. در سطوح بالای شبکه، ترانسفورماتورهای قدرت با توان و ولتاژ بالا در نیروگاهها و پستهای انتقال به کار میروند و با کاهش جریان، تلفات انتقال را کاهش میدهند. در مقابل، ترانسفورماتورهای توزیع با ولتاژ و توان پایینتر، وظیفه تأمین برق نهایی مصرفکنندگان شهری، روستایی، صنعتی و تجاری را بر عهده دارند و بازده آنها بر اساس چرخه بار روزانه ارزیابی میشود.
برای اندازهگیری و حفاظت ایمن در شبکههای قدرت، از ترانسفورماتورهای ابزار دقیق استفاده میشود که شامل ترانس جریان (CT) جهت کاهش و اندازهگیری جریانهای بالا و ترانس ولتاژ (PT) برای تبدیل ولتاژهای زیاد به مقادیر ایمن و قابل اندازهگیری هستند. این ترانسفورماتورها علاوه بر دقت بالا، نقش مهمی در حفاظت تجهیزات و اپراتورها دارند.
از نظر ساختار فازی، ترانسفورماتورها به تکفاز و سهفاز تقسیم میشوند. ترانسفورماتور تکفاز بیشتر در بارهای سبک و خانگی کاربرد دارد، در حالی که ترانسفورماتور سهفاز—که میتواند بهصورت یک واحد یکپارچه یا بانک سه ترانس تکفاز ساخته شود—هسته اصلی تغذیه سیستمهای صنعتی و شبکههای قدرت بوده و با اتصالهای ستاره و دلتا پیادهسازی میشود.
در مجموع، انتخاب نوع ترانسفورماتور به سطح ولتاژ، توان مورد نیاز، محل کاربرد، نوع بار و ملاحظات اقتصادی بستگی دارد و طراحی صحیح آن نقش مستقیمی در افزایش بازده، کاهش تلفات و افزایش قابلیت اطمینان سیستم قدرت دارد.





